MathML Browser Test (Presentation Markup)

This is an HTML5 using MathML document.
Click on a formula/equation to see the source code that generated it.

Formula Image of TeX rendering
(MiKTeX 2.9)
Image of MathML rendering with Firefox 84.0
using Latin Modern Math and STIX fonts
MathML rendering
(by this browser)
Axiom of
power set
Image of TeX rendering of the Axiom of power set Image of MathML rendering of the Axiom of power set A P B [ B P C ( C B C A ) ]
De Morgan's law Image of TeX rendering of De Morgan's law Image of MathML rendering of De Morgan's law Logic:  ¬ ( p q ) ( ¬ p ) ( ¬ q ) Boolean algebra:  i = 1 n A i = i = 1 n A i
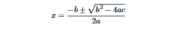
Quadratic
Formula
Image of TeX rendering of the Quadratic Formula Image of MathML rendering of the Quadratic Formula x = b ± b 2 4 a c 2 a
Binomial
Coefficient
Image of TeX rendering of the Binomial Coefficient Image of MathML rendering of the Binomial Coefficient C ( n , k ) = C k n = C k n = ( n k ) = n ! k ! ( n k ) !
Sophomore's
dream
Image of TeX rendering of the Sophomore's Dream Image of MathML rendering of the Sophomore's Dream 0 1 x x x = n = 1 ( 1 ) n + 1 n n
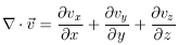
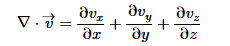
Divergence Image of TeX rendering of the divergence of vector calculus Image of MathML rendering of the divergence of vector calculus · v = v x x + v y y + v z z
Complex
number
Image of TeX rendering of the complex number Image of MathML rendering of the complex number c = a real + b imaginary complex number
Moore
determinant
Image of TeX rendering of the Moore Determinant Image of MathML rendering of the Moore Determinant M = [ α 1 α 1 q α 1 q n 1 α 2 α 2 q α 2 q n 1 α m α m q α m q n 1 ]
Sphere
volume
Image of TeX rendering of the Sphere Volume derivation Image of MathML rendering of the Sphere Volume derivation     Spherical coordinates derivation of the volume of a sphere ( 4 3 π R 3 ) .
The formula S for a sphere of radius R in spherical coordinates is:
S = { 0 ϕ 2 π 0 θ π 0 ρ R }
Volume = S ρ 2 sin θ ρ θ ϕ = 0 2 π ϕ 0 π sin θ θ 0 R ρ 2 ρ = ϕ | 0 2 π ( cos θ ) | 0 π 1 3 ρ 3 | 0 R = 2 π × 2 × 1 3 R 3 = 4 3 π R 3
Schwinger-Dyson
equation
Image of TeX rendering of the Schwinger-Dyson equation Image of MathML rendering of the Schwinger-Dyson equation ψ | 𝒯 { δ δ ϕ F [ ϕ ] } | ψ = ψ | 𝒯 { F [ ϕ ] δ δ ϕ S [ ϕ ] } | ψ
Differentiable
Manifold
(tangent vector)
Image of TeX rendering of an equation from an article on differentiable manifolds Image of MathML rendering of an equation from an article on differentiable manifolds γ 1 γ 2 { γ 1 ( 0 ) = γ 2 ( 0 ) = p , and t ϕ γ 1 ( t ) | t = 0 = t ϕ γ 2 ( t ) | t = 0
Cichoń's
Diagram
Image of TeX rendering of an equation from an article on Cichon's diagram Image of MathML rendering of an equation from an article on Cichon's diagram cov ( ) non ( 𝒦 ) cof ( 𝒦 ) cof ( ) 2 0 𝔟 𝔡 1 add ( ) add ( 𝒦 ) cov ( 𝒦 ) non ( )
multiscripts
&
greek alphabet
Image of TeX rendering of multiscripts and greek alphabet Image of MathML rendering of multiscripts and greek alphabet
𝔈 υ τ ρ σ 𝔇 π ο ν ξ 𝔄 δ γ α β 𝔅 θ η ε ζ 𝔉 ω ψ ϕ χ μ λ ι κ
nested roots Image of TeX rendering of nested roots Image of MathML rendering of nested roots 1 + 2 + 3 + 4 + 5 + 6 + 7 + A 19 17 13 11 7 5 3 π = x
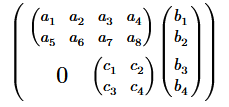
nested
matrices
Image of TeX rendering of nested matrices Image of MathML rendering of nested matrices ( ( a 1 a 2 a 3 a 4 a 5 a 6 a 7 a 8 ) 0 ( c 1 c 2 c 3 c 4 ) ( b 1 b 2 b 3 b 4 ) )
font sizes Image of TeX rendering of different font sizes Image of MathML rendering of different font sizes scriptlevel : 3 2 1 0 1

NOTES:

I hope this site can be used as a learning aid (tutorial by example) for mathematics in TeX/LaTeX and in coding MathML.
A small sample of many different types of mathematical expressions and equations is shown.
All the examples are complete with the source code available. (Just click on the equation/formula.)

This web page was validated as:

Lessons Learned Working on MathML with STIX Fonts on Firefox:

When using an mtable, the table cell (mtd) default vertical padding produces excessive spacing. Setting the top and bottom padding to zero "0" fixes this.

When using the vertical bar "|" (|) or integrals, adding a little spacing between themselves and their limits improves the readability of the result.

Bugs / Enhancements:

Useful Links:

Copyright © 2023 Josephus Javawaski (Joe Java)  
Comments / Suggestions / Corrections to : (cis3931 <AT> yahoo <DOT> com)
This document is licensed under the GFDLv1.3, All software shown is licensed under the LGPLv3.
Document last modified on April 26, 2023 01:07 pm UTC.